Bài viết này, Taimienphi.vn sẽ tổng hợp và chia sẻ bảng đạo hàm chuẩn và đầy đủ nhất như đạo hàm lượng giác có mũ, đạo hàm căn bậc 3, lũy thừa ... giúp các bạn có thể ôn lại kiến thức toán quan trọng, hỗ trợ làm toán tốt hơn.
Bài viết liên quan
- Công thức tính diện tích hình hộp chữ nhật
- Công thức tính diện tích hình nón
- Công thức tính diện tích mặt cầu, ví dụ và lời giải chi tiết
- Công thức tính thể tích hình nón
- Công thức tính diện tích hình lập phương
Bạn đột nhiên quên công thức đạo hàm khi đang làm toán đạo hàm, vậy hãy tham khảo ngay bảng đạo hàm chuẩn và đầy đủ nhất mà Taimienphi.vn đã chia sẻ ở dưới đây. Với bảng đạo hàm này, bạn dễ dàng tìm được công thức mà bạn cần.

Công thức đạo hàm nguyên hàm chuẩn
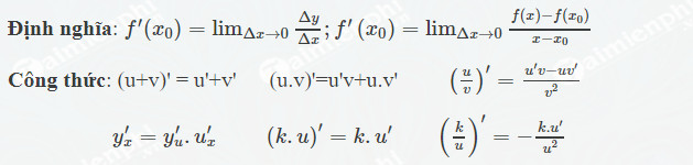
I. Quy tắc cơ bản của đạo hàm
1. Quy tắc cơ bản

2. Quy tắc đạo hàm của hàm số hợp

II. Bảng đạo hàm của các hàm số cơ bản

III. Đạo hàm của một số phân thức hữu tỉ thường gặp

IV. Đạo hàm cao cấp

V. Đạo hàm lượng giác và các hàm lượng giác ngược

Hy vọng với bảng đạo hàm đầy đủ trên đây sẽ mang đến cho bạn những kiến thức bổ ích nhất, giúp việc học toán của bạn được củng cố và nâng cao hơn.
https://thuthuat.taimienphi.vn/bang-dao-ham-chuan-va-day-du-37169n.aspx
Bảng tuần hoàn các nguyên tố hóa học là bảng liệt kê các nguyên tố hóa học với số hiệu nguyên tử, cấu hình electron, tính chất hóa học. Các bạn khi nắm được bảng tuần hoàn các nguyên tố hóa học sẽ giúp học hóa tốt hơn.